说明:在化学与材料科学领域,氢键是一种看似 “温和” 却极具影响力的分子间相互作用。本文将从氢键的基础定义出发,系统解析其核心特性、对材料性质的影响、分析方法。
氢键的经典定义可以表述为:一个电负性强的原子X(如O, N, F)与一个氢原子H形成共价键(X-H),该氢原子同时又与另一个电负性强的原子Y(可与X相同或不同)之间产生的一种静电吸引作用。
我们通常将其表示为 X-H···Y。其中,X-H被称为氢键供体,而Y则被称为氢键受体。

-SO??基团作为氢键受体与水分子形成强相互作用。DOI:10.1021/acscatal.4c02916
然而,随着研究的深入,这一经典定义已不足以涵盖所有观测到的现象。
国际纯粹与应用化学联合会(IUPAC)发布了一份关于氢键的推荐定义。
根据这份现代定义,氢键是“一个实体X–H中,氢原子H与同一或另一实体中的原子或原子团Y之间形成的吸引性相互作用,其中有证据表明形成了键”。这个定义通常表示为 X–H···Y。

DOI:10.1021/acs.jpca.0c11183
该定义的核心在于“有证据表明形成了键” 。这意味着判断氢键的存在不能仅凭几何构型,而需要结合多种实验或理论计算的证据。
这些证据包括但不限于:原子间距离小于范德华半径之和、特定的光谱学特征、核磁共振谱中质子化学位移的变化等。

硫代水杨酸晶体结构片段。图中可见中心对称二聚体通过羧基形成双O-H···O氢键,同时存在S···O分子内硫属键构成五元环,S···O距离2.762 ?,小于范德华半径和3.25 ?。DOI:10.1021/acs.jpca.0c11183
随着量子化学计算和高精度实验技术的发展,我们对氢键的认知已经超越了纯粹的静电模型 。现代观点认为,氢键是一种包含多种作用力贡献的复杂相互作用,其本质包括静电相互作用、共价性(电荷转移)、色散作用、极化作用。
其中静电相互作用是***主要的贡献,它源于X-H键的极性导致H原子带部分正电荷,而Y原子带部分负电荷或拥有孤对电子,两者之间产生库仑吸引力。
因此,将氢键视为一种主要由静电作用主导,但兼具显著共价、色散和极化成分的特殊分子间相互作用,是目前***被广泛接受的观点。

丙二醛分子内S(6)型六元环氢键(O-H···O)。虚线表示氢键。DOI:10.1021/acs.jpca.0c11183
氢键作为一种关键的弱相互作用,根据形成位置的不同,可分为分子内氢键和分子间氢键。二者在结构特征、形成条件、物理化学效应及应用场景上存在显著差异,同时共同影响物质的性质与反应历程。
分子内氢键是指同一分子内部不同原子或基团之间的氢键作用。例如,纤维素分子中葡萄糖单元之间的氢键,或药物分子中官能团之间的氢键。其结构通常为弯曲的,且强度受分子内电子分布和空间构型影响。
邻硝基苯酚和水杨酸都是分子内氢键的典型例子。水杨酸是羧基(-COOH)的羟基与邻位酚羟基的氧原子形成分子内氢键。

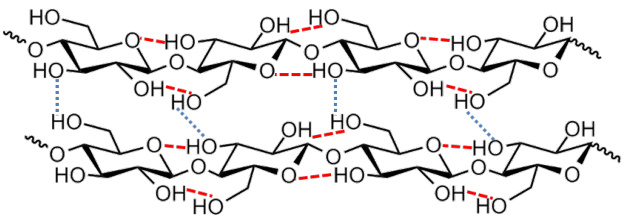
分子间氢键(蓝色虚线)与分子内氢键(红色虚线)存在于两条平行纤维素链之间。
分子间氢键是指不同分子之间的氢键作用。例如,纤维素分子链间的氢键,或水分子与生物大分子之间的氢键。其结构通常为直线或近直线,且强度受分子间距离和环境影响。
其本质是分子间的 “相互连接”,可形成一维链状、二维网状或三维立体的氢键网络。例如水分子,H?O 分子间通过 O-H…O 氢键形成三维网状结构,决定了水的高沸点、高比热容等特性。

DOI:10.1016/j.indcrop.2018.04.025
在材料领域中,分子内氢键通过分子内部的环状成键(多为五元环 / 六元环)锁定构型,减少分子构象自由度,进而提升材料的化学稳定性、力学性能与功能选择性。其核心作用是 “内部加固”,常见于需要精准结构控制的材料中。
分子间氢键通过不同分子(或分子链)间的相互作用形成动态可逆的氢键网络,其核心作用是 “外部交联与响应”,可通过外界条件(温度、湿度、电场等)调控材料的宏观性能,广泛应用于智能材料、能源存储、吸附分离等领域。

纤维素的分子结构。AGU代表一个无水葡萄糖单元,n代表聚合度。
氢键作为材料中普遍存在的弱相互作用,通过调控分子构型、聚集状态、界面行为及传质过程,从宏观到微观全方位影响材料的物理化学性质。其影响覆盖力学、热学、光学、电学、化学稳定性等核心维度。

氢键对力学性质的影响核心的是 “分子内锁定构型、分子间构建网络”。
分子内氢键通过环状结构固定分子链规整性,提升堆积密度与结构稳定性;分子间氢键形成动态可逆的交联网络,抑制分子链滑移或颗粒团聚,同时通过氢键的断裂 - 重组吸收能量、恢复结构。
例如,在聚酰胺(尼龙)中,分子链间的 - N-H…O=C - 氢键形成致密交联网络,使其拉伸强度达到 70-100 MPa,远高于无氢键作用的聚乙烯。

苯甲酸二聚体R?2(8)型八元环双氢键(O-H···O)。虚线表示氢键。DOI:10.1021/acs.jpca.0c11183
氢键通过改变分子间作用力强度和能量传输路径影响热学性质。
分子间形成的氢键网络会增加分子聚集的能量壁垒,导致熔点、沸点升高。同时,氢键网络可作为声子传输通道,减少能量散射,提升导热效率。
例如,水的沸点(100℃)远高于同主族的硫化氢(-60.7℃),核心原因是水分子间形成的三维氢键网络显著增强了分子间作用力。

能量数据清晰表明羰基氧作为分子内氢键受体时体系***稳定,解释晶体结构中顺式构象占主导的热力学根源。DOI:10.1021/acs.jpca.0c11183
氢键通过改变分子电子云分布、调控分子聚集状态,影响材料的光吸收、荧光性能与折射率。
氢键会引发分子电子云重分布,改变电子跃迁能,使吸收光谱发生红移或蓝移。同时,氢键可锁定分子平面构型,减少非辐射跃迁,或通过调控聚集方式,优化荧光性能。
例如,香豆素衍生物借助氢键保持平面构型,荧光量子产率从 20% 提升至 85%。

DOI:10.1021/acs.jpca.0c11183
氢键在电学性质中的核心作用是构建传输通道与优化界面电荷转移。
分子间形成的动态氢键网络可为离子提供迁移路径,加速离子传导。此外,氢键能锁定共轭分子构型,增强 π-π 堆积规整性,提升电荷迁移率,或通过界面氢键作用降低电荷转移阻力。
例如,酸性 CO?电解体系中,磺酸盐添加剂与水分子形成的氢键网络破坏了质子传输通道,优化了界面电荷转移选择性。

DOI:10.1021/acs.jpca.0c11183
氢键通过屏蔽活性位点或动态重构,调控材料的化学稳定性与环境响应性。
分子内氢键可包裹羟基、氨基等活性官能团,避免其发生水解、氧化等反应,提升化学稳定性。
例如,可降解聚合物聚羟基脂肪酸酯(PHA)通过氢键屏蔽酯键,减缓水解速率,自然环境中使用寿命延长。

DOI:10.1021/acs.jpca.0c11183
氢键通过界面桥接或特异性结合,调控材料的相容性、润湿性与吸附性能。
分子间氢键可作为不同材料间的相互作用桥梁,降低界面张力,提升相容性与分散性。除此之外,氢键能增强材料表面极性,改善润湿性,或通过特异性结合实现目标分子的高效吸附与分离。
例如,MOF 材料 MOF-801 通过表面羟基与 CO?形成特异性氢键,CO?吸附容量远高于对 N?的吸附,实现高效气体分离。

DOI:10.1021/acs.jpca.0c11183
氢键作为弱相互作用,无法通过常规化学键的键长 / 键能直接量化,需通过光谱、波谱等技术间接表征,并结合理论计算协同分析。
本文主要介绍了红外光谱(IR)、核磁共振(NMR)? 、拉曼光谱、X射线晶体学、密度泛函理论(DFT)这几种分析方法。
红外光谱(IR)是发现和研究氢键***经典的工具之一。当X-H基团作为氢键供体形成X-H···Y时,X-H共价键被削弱和拉长,导致其伸缩振动频率向低波数方向移动(即“红移”),同时吸收峰的强度和宽度显著增加。这些变化是判断氢键形成的标志性证据。
例如,在酸性 CO?电解的磺酸盐电解质体系中,采用原位红外光谱(ATR-SEIRAS)检测电极-电解质界面水分子的振动信号。
空白体系中,H?O-H?O 氢键网络对应的 O-H 伸缩振动峰积分强度 I?=0.8,弯曲振动峰集中在 1650 cm?1,这是强氢键的特征。

原位ATR-SEIRAS。DOI:10.1021/acscatal.4c02916
NMR被认为是表征氢键***的工具之一。形成氢键后,氢键供体质子(H)周围的电子云密度降低(去屏蔽效应),导致其化学位移向高场(低频)方向移动(即“低场位移”)。
通过测定化学位移随浓度、温度或溶剂的变化,可以获得关于氢键强度和动力学的丰富信息。
例如,在 SPS / 硫酸电解质体系中,NMR 检测显示,纯 H?SO?中水分子化学位移 δ?=4.824 ppm。

NMR谱显示SPS导致质子信号向低场移动,证实去屏蔽效应增强。DOI:10.1021/acscatal.4c02916
拉曼光谱也可以探测分子的振动变化,为氢键研究提供互补信息 。通过检测 O-H 键的伸缩振动峰(ν-OH)位置与强度变化反映氢键强度。强氢键会使 ν-OH 峰向低波数偏移,弱氢键则对应高波数峰。
例如,在酸性 CO?电解的磺酸盐电解质体系中,通过拉曼光谱检测水分子 O-H 伸缩振动峰为2800-4000 cm?1。空白电解质中,H?O-H?O 氢键网络对应的强氢键峰(~3250 cm?1)占比 53.0%。

拉曼光谱中ν-OH伸缩振动峰解卷积结果表明,SPS使强氢键水比例从29.6%增至60.6%,显著破坏水分子间原始氢键网络。DOI:10.1021/acscatal.4c02916
X射线晶体学能够精确测定晶体中原子的位置,从而得到氢键的键长(H···Y距离)、键角(X-H···Y角度)等精确的几何参数。
高分辨率的X射线衍射甚至可以绘制出电子密度分布图,从而直接观察到键合区域的电子云变化,为研究氢键的共价性提供直接证据。
在 MOF 材料(MOF-801)的 CO?吸附研究中,通过 X 射线单晶衍射解析氢键结构。未吸附 CO?时,MOF 骨架- OH 与配位氧原子形成 O-H…O 氢键,得知键长和键角,根据公式推算键能。

b) X射线晶体学辐照装置示意图。 c) 在晶态反应前后单晶X射线结构及选定的键长。DOI:10.1002/anie.202516032
DFT计算能够在不依赖经验参数的情况下,高精度地计算含氢键体系的稳定几何构型、相互作用能(氢键能)、振动频率、电子密度分布等。
例如,对SPS-水分子复合物的DFT 计算中,采用 B3LYP/6-311G (d,p) 基组优化结构,得到 - SO??与 H?O 的氢键键长 r=0.268 ?,键能 EHB=42.3 kJ?mol?1,与拉曼光谱推算结果一致。

DFT计算。DOI:10.1002/anie.202517715
氢键作为自然界中重要和普遍的非共价相互作用之一,其影响贯穿于化学、物理和材料科学等众多领域。未来,随着对氢键作用机制的深入理解,以及表征技术与分子设计能力的提升,氢键调控将在材料科学、能源存储、生物催化等更多领域发挥核心作用,成为解决关键技术瓶颈的 “隐形利器”。
文章来源:
微信公众号:材料有干货
声明:转载此文是出于传递更多信息之目的。若有来源标注错误或侵犯了您的合法权益,请作者持权属证明与本网联系,我们将及时更正、删除,谢谢